Ответы
Ответ дал:
0
Ответ:
Пошаговое объяснение:
вот
Приложения:

Ответ дал:
0
у=lgх-(1/(8x-1))
x>0
8x-1≠0; x≠1/8
0_______1/8___________ х∈(0;1/8)∪(1/8;+∞)
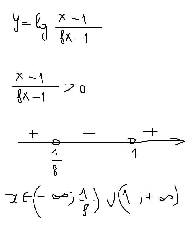
Если условие lg((х-1)/(8x-1)), то ОДЗ ___1/8_____1___
+ - +
(-∞:1/8)∪(1;+∞)
Приложения:

Вас заинтересует
2 года назад
2 года назад
3 года назад
8 лет назад
8 лет назад
9 лет назад