• Предмет: Математика
  • Автор: alenakarlina02
  • Вопрос задан 8 лет назад

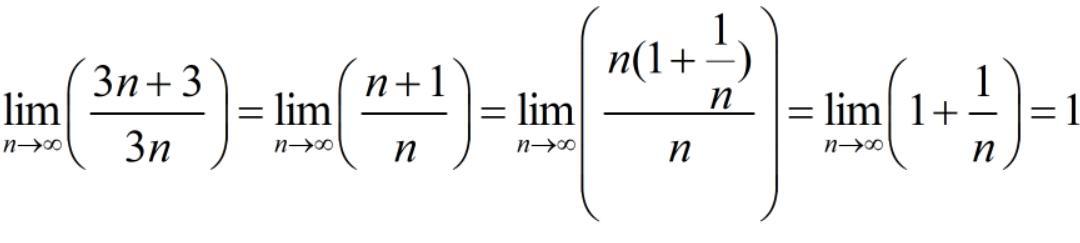
найти предел
lim n стремится к бесконечности
3n+3/3n

Ответы

Ответ дал: NameVM
0

####################

Приложения:
Вас заинтересует