• Предмет: Математика
  • Автор: alinaeduardovna2
  • Вопрос задан 8 лет назад

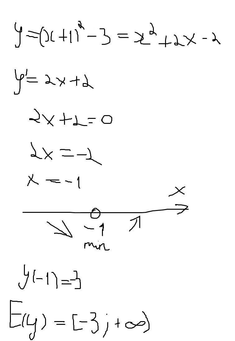
Найдите область значений функции y=(x+1)^2-3

Ответы

Ответ дал: Аноним
0

Ответ:

Пошаговое объяснение:

вот

Приложения:
Ответ дал: alinaeduardovna2
0
в условии стоит -3, а не плюс
Ответ дал: Аноним
0
ща исправлю
Ответ дал: Аноним
0
все
Ответ дал: alinaeduardovna2
0
спасибо
Вас заинтересует