• Предмет: Алгебра
  • Автор: fgdsddf12345
  • Вопрос задан 8 лет назад

Объясните, пожалуйста, как это решить НЕ подбором.

Приложения:

Ответы

Ответ дал: Also1987
0

Ответ:

693

Объяснение:

Разложим 77 на простые числа 7 и 11.

63 на простые числа 3.3.7

99 на простые числа 3.3.11

Теперь группируем в общие числа (7.11.3.3) перемножаем7×3×11×3=693

Это и есть наименьший знаменатель

Ответ дал: fgdsddf12345
0
Почему только две тройки, а не четыре? И почему одна 11?
Ответ дал: valenivan
0

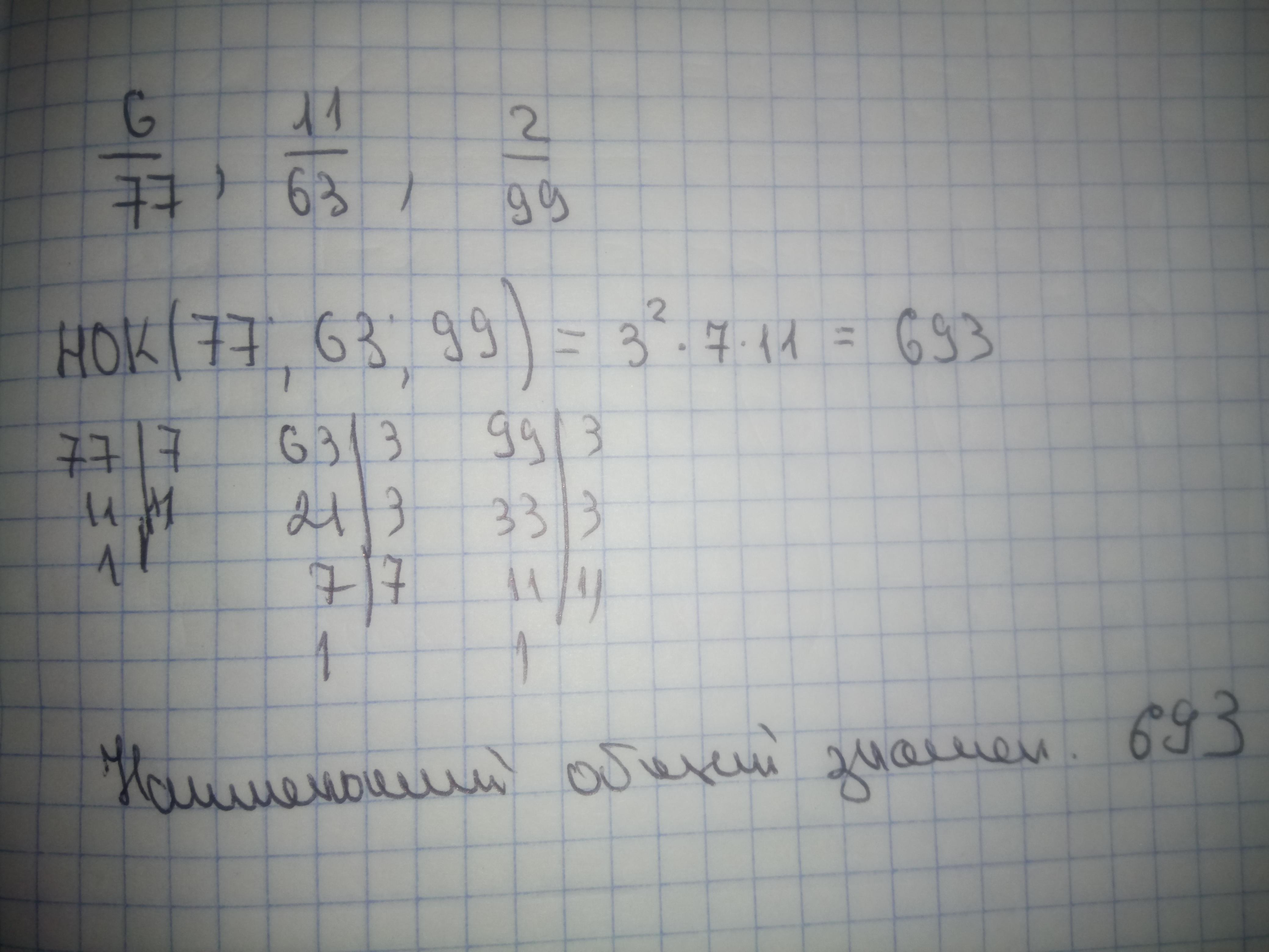
Решение задания приложено

Приложения:
Ответ дал: fgdsddf12345
0
Не понимаю, почему три во второй :(
Ответ дал: valenivan
0
Смотрите, мы берём все множители с числа 63, это 3×3×7=3^2×7. Теперь смотрим на множители числа 77, это 7 (уже есть, не пишем) и 11. Получается 3×3×7×11. В числе 99 множители 11 и две 3. Уже присутствуют, не дописываем. 3 я записала в квадрате, их же две. Можете не писать квадрат, запишите 3×3×7×11=693
Ответ дал: fgdsddf12345
0
БОЖЕЧКИ-КОШЕЧКИ
Ответ дал: fgdsddf12345
0
Спасибо огромное! Я все поняла!
Ответ дал: fgdsddf12345
0
Вы лучшая!
Вас заинтересует