• Предмет: Алгебра
  • Автор: tolstim1perdim
  • Вопрос задан 8 лет назад

Найти площадь фигуры ограниченной линиями


1.


y=2x^2-3x+1 \y=0


2.


y=frac{8}{x} \y=8\x=4


3.


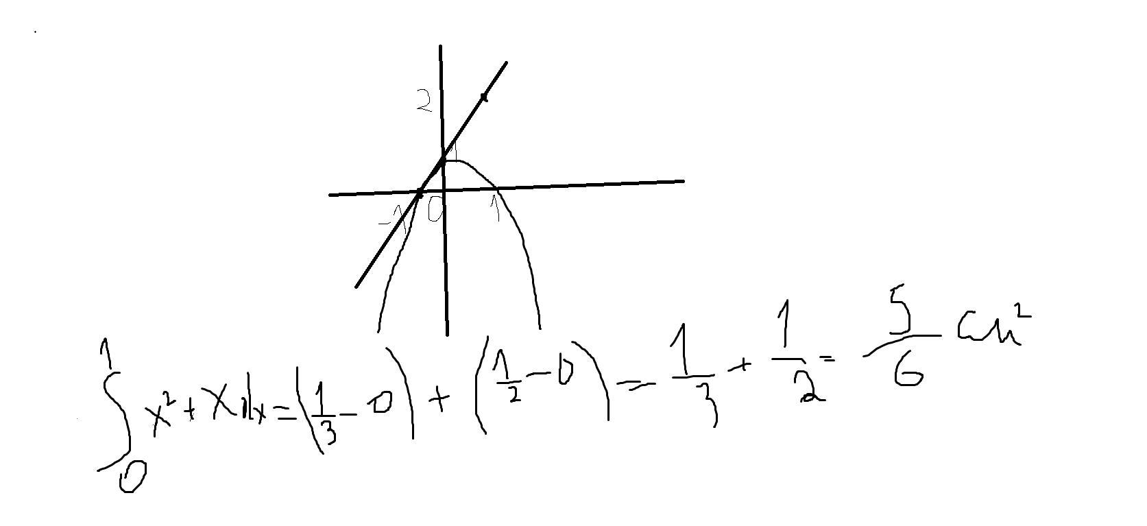
y=x+1\y=-x^2+1\y=0

Ответы

Ответ дал: Макрой
0

Ответ:

Объяснение:

Вот последнее

Приложения:
Вас заинтересует