Ответы
Ответ дал:
0
Ответ дал:
0
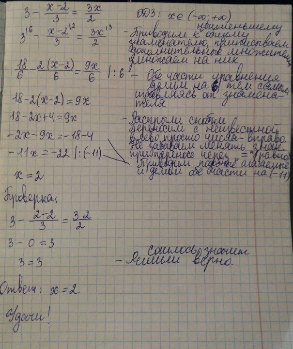
Ответ:
х = 2
Объяснение:
Подробное решение и объяснение на прикреплённом файле
Приложения:

Ответ дал:
0
ну и заморочились вы с таким простеньким уравнением
Ответ дал:
0
Просто расписала каждый "ход"
Ответ дал:
0
достойно уважения
Вас заинтересует
2 года назад
2 года назад
3 года назад
3 года назад
8 лет назад
8 лет назад
9 лет назад
9 лет назад