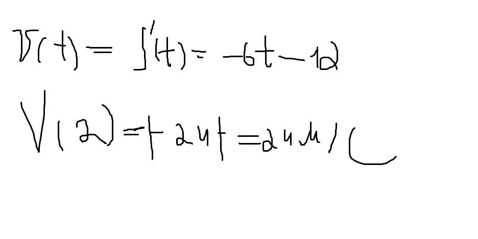
Тело движется по прямой так, что расстояние S до него от некоторой точки А этой прямой изменяется по закону S=-3t^2-12t+5(м), где t – время движения в секундах.
Найдите скорость тела через 2 сек после начала движения.
Ответы
Ответ дал:
0
Ответ:
Объяснение:
вот
Приложения:
Вас заинтересует
2 года назад
2 года назад
3 года назад
3 года назад
9 лет назад
9 лет назад
10 лет назад