• Предмет: Алгебра
  • Автор: DagyBagy
  • Вопрос задан 8 лет назад

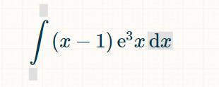
Помогите решить интеграл

Приложения:

Ответы

Ответ дал: NNNLLL54
0

int (x-1)cdot e^3cdot x, dx=[; e^3=const; ]=e^3cdot int (x-1)cdot x, dx=\\=e^3int (x^2-x), dx=e^3cdot (frac{x^3}{3}-frac{x^2}{2})+C

Вас заинтересует