• Предмет: Математика
  • Автор: nikburyy
  • Вопрос задан 8 лет назад

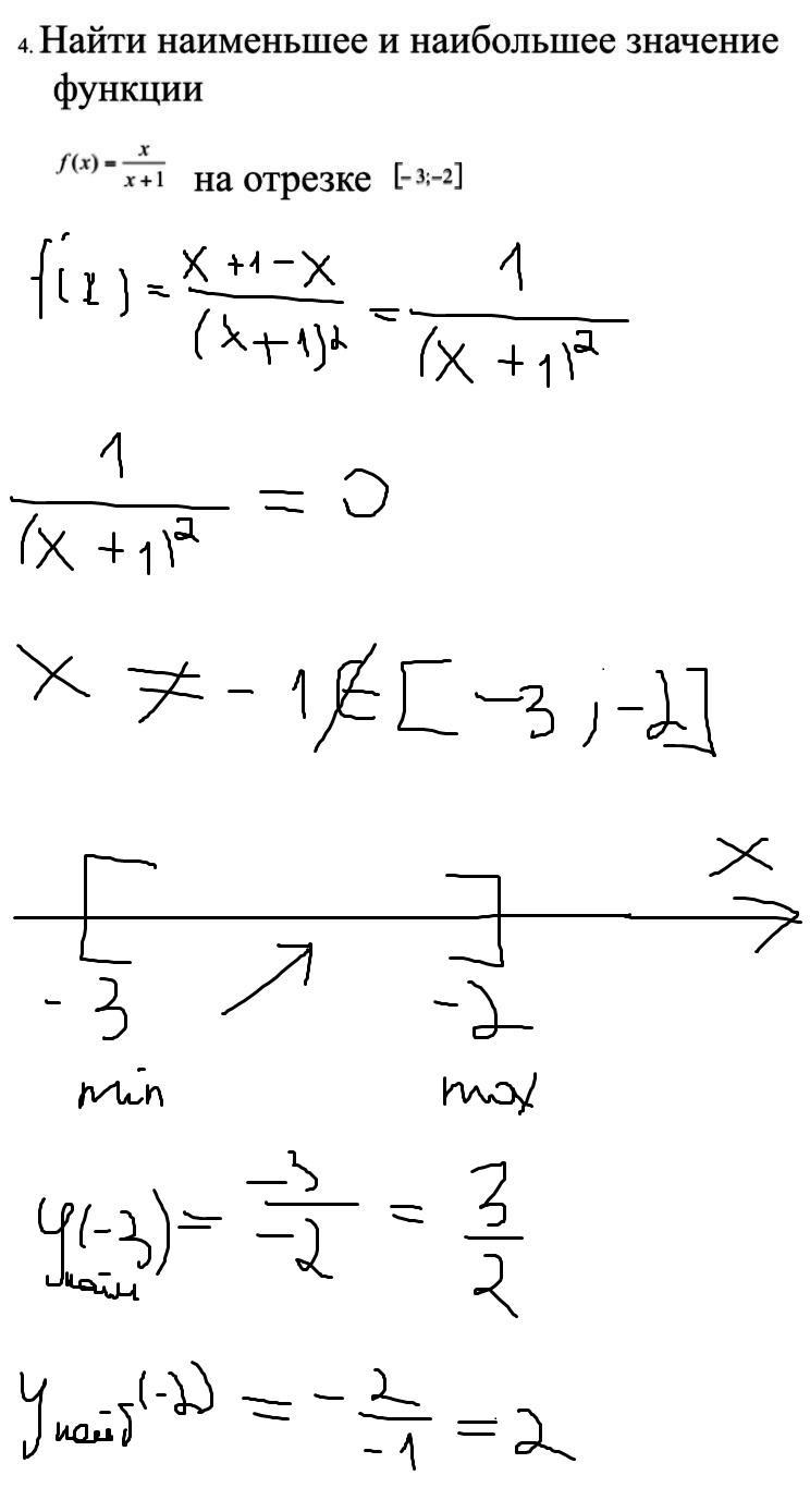
Найти наименьшее и наибольшее значение функции:

Приложения:

Ответы

Ответ дал: Аноним
0

Ответ:

Пошаговое объяснение:

вот

Приложения:
Ответ дал: Аноним
0
наверное просто не понравился ответ
Ответ дал: nikburyy
0
Там нет решений, уравнение ложное, нужно получается искать промежутки -2 -3
Ответ дал: Аноним
0
если нет решений нужно искать на концах интервала
Ответ дал: nikburyy
0
Там будет -1/2 и -1
Ответ дал: SergFlint
0
На отрезке [-3; -2] критических точек нет. Поэтому своё наибольшее и наименьшее значения функция принимает на концах отрезка, и -1/2 - наибольшее и наименьшее -1 никак не получаются.
Вас заинтересует