Ответы
Ответ дал:
0
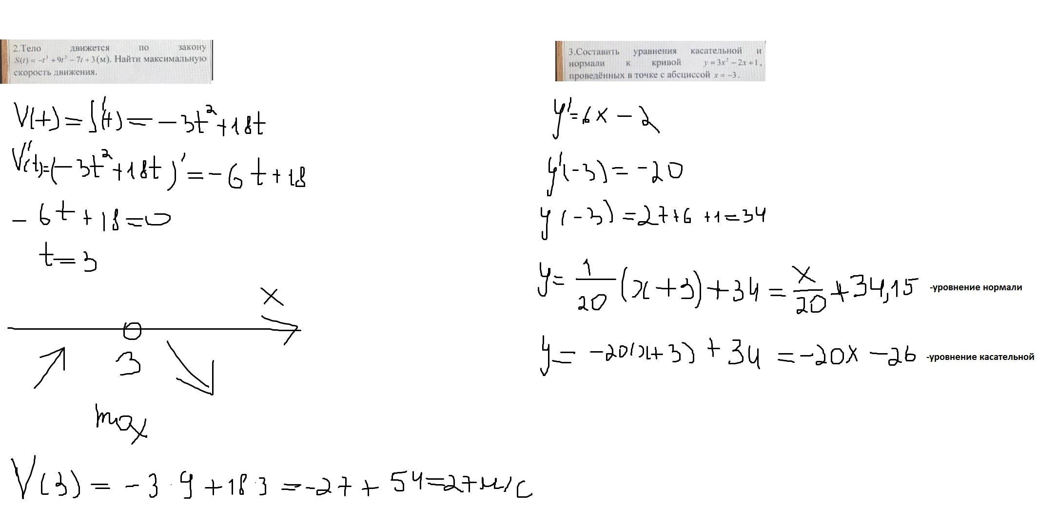
Решение первого задания на фото
Приложения:

Ответ дал:
0
Сможешь ещё решить другие номера ???
Ответ дал:
0
Ответ:
Пошаговое объяснение:
вот
Приложения:

Вас заинтересует
2 года назад
3 года назад
8 лет назад
9 лет назад