Ответы
Ответ дал:
0
Ответ:
Пошаговое объяснение:
вот
Приложения:

Ответ дал:
0
я могу просто дописать как я искал
Ответ дал:
0
Чел помоги почему в решений во втором примере 12 получилось?
Ответ дал:
0
производная от 4х^3=12x^2
Ответ дал:
0
Как 12 образовалась вообще? Почему именно 12. спаси
Ответ дал:
0
4*3x^(3-1)=12x^2
Ответ дал:
0
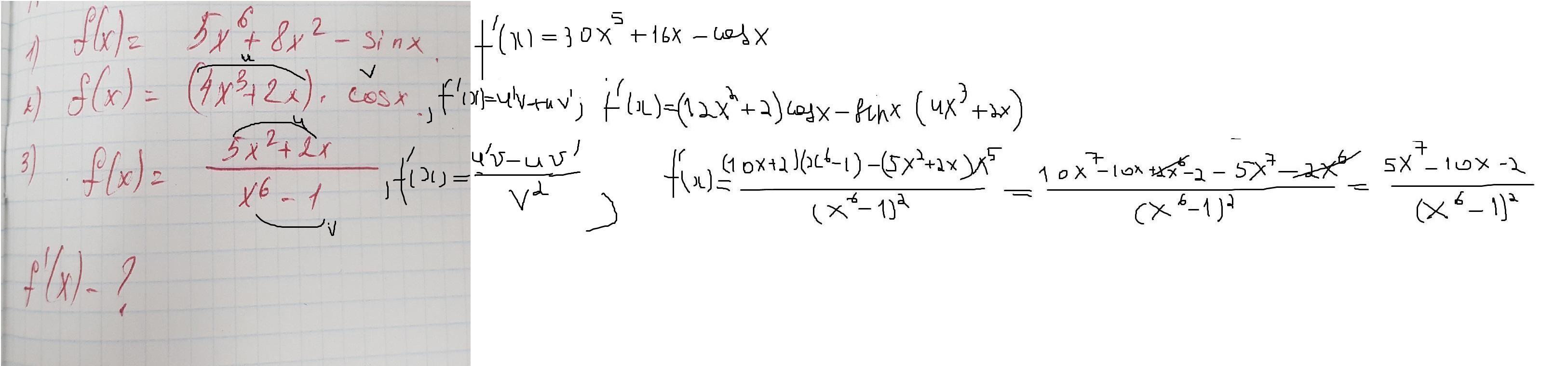
1)эф штрих равен 30х⁵+16х-сosx
2) (12x²+2)*cosx+(-sinx)(4x³+2x)
3)((10x+2)(x⁶-1)-6x⁵(5x²+2x))/(x⁶-1)²=(10x⁷-10x+2x⁶-2-30x⁷-12x⁶)/(x⁶-1)²=
(-20x⁷-14x⁶-10x-2)/(x⁶-1)²
Приложения:

Вас заинтересует
2 года назад
2 года назад
3 года назад
3 года назад
8 лет назад
8 лет назад