Ответы
Ответ дал:
0
Ответ:
Пошаговое объяснение:
вот
Приложения:

Ответ дал:
0
решение
Ответ дал:
0
мне надо
Ответ дал:
0
это и есть решение
Ответ дал:
0
найбольшое 3
наименьшее -1,5
наименьшее -1,5
Ответ дал:
0
спасибо большое
Ответ дал:
0
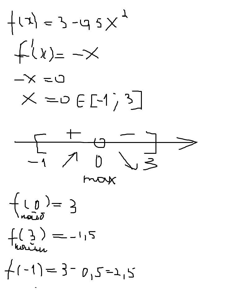
Найдем производную. она равна -х=0 - критическая точка, принадлежит рассматриваемому отрезку.
у(-1)=2.5
у(0)=3; наибольшее значение
у(3)=-1.5- наименьшее значение
Приложения:

Вас заинтересует
2 года назад
2 года назад
3 года назад
3 года назад
8 лет назад