Помогите пожалуйста найти одну из первообразных функции номер 46,если можно напиши на листочке пожалуйста нужно прямо сейчас!
Приложения:

Ответы
Ответ дал:
0
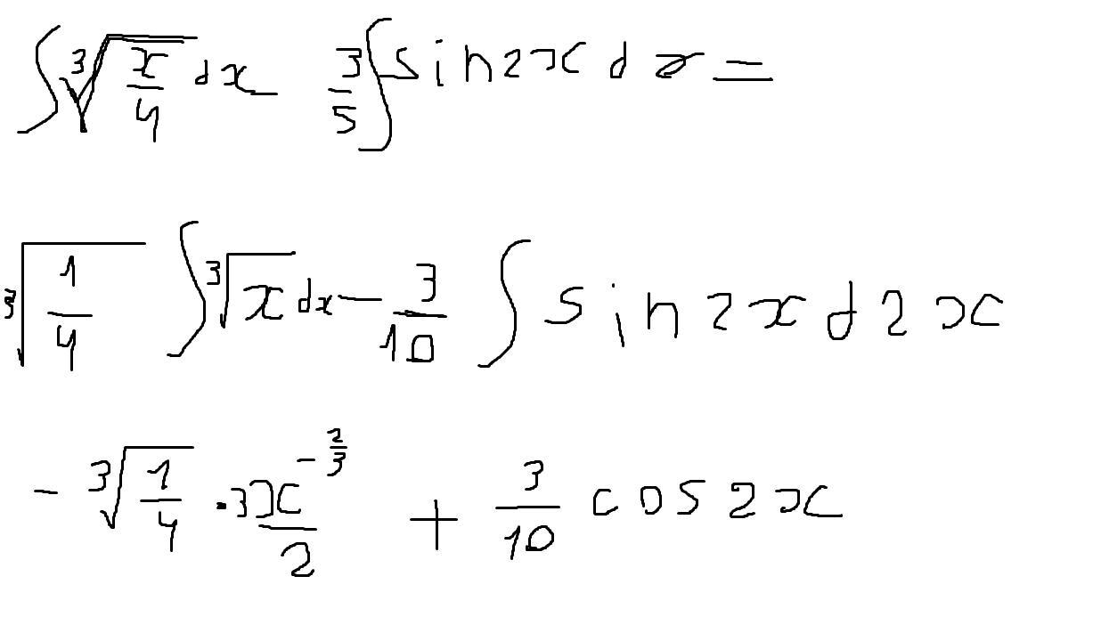
Ответ: на рисунке
Объяснение:
использован метод подведения под знак дифференциала и свойство линейности интеграла
Приложения:

Ответ дал:
0
там ешё +С
Вас заинтересует
2 года назад
2 года назад
3 года назад
8 лет назад
9 лет назад