• Предмет: Математика
  • Автор: fuajrsjegzkhzdyk
  • Вопрос задан 8 лет назад

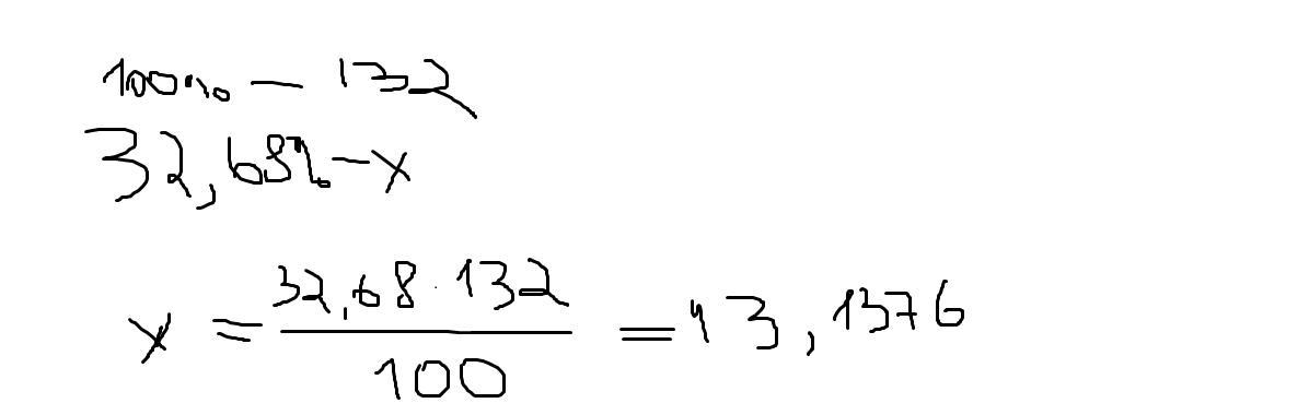
32,68 % от 132 числа​

Ответы

Ответ дал: Аноним
0

Ответ:

Пошаговое объяснение:

вот

Приложения:
Ответ дал: Аноним
0
Помогите мне с математикой пожалуйста ❤
Ответ дал: Amigo3
0

Ответ: 32,68% от 132 составляют 132*0,3268=43,1376. Всё просто.

Пошаговое объяснение:

Приложения:
Вас заинтересует