• Предмет: Математика
  • Автор: esacenko
  • Вопрос задан 8 лет назад

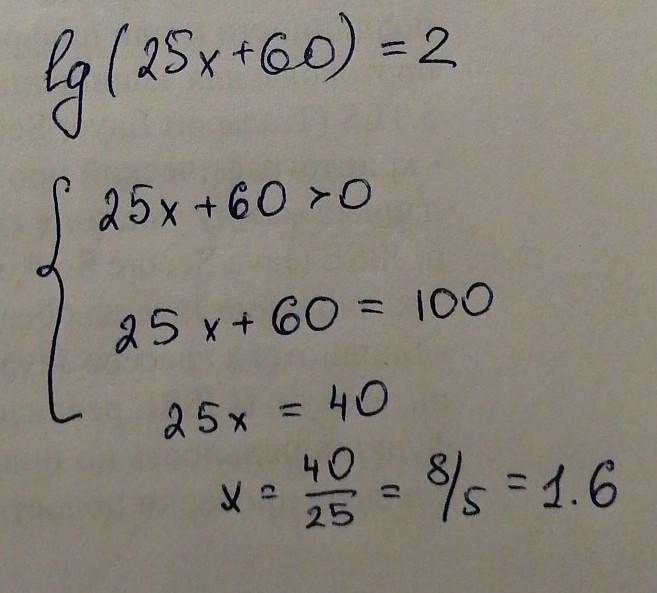
lg(25x+60)=2 Найдите корень уравнения

Ответы

Ответ дал: Света19999
0

Смотри ответ на фотографии

Приложения:
Ответ дал: iosiffinikov
0

Ответ:

1,6

Пошаговое объяснение:

25х+60= 10^2 (10 в квадрате)

25х=40

х=1,6

Понятно, что ОДЗ выполнено (25х+60=100 больше 0)

Приложения:
Вас заинтересует