Ответы
Ответ дал:
0
Попробуйте предложенный вариант задания б); проверка не проводилась.
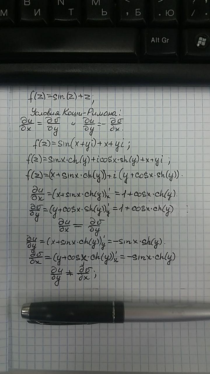
Из-за того, что одно из условий не выполнено, вывод: функция недифференцируема.
Приложения:

Ответ дал:
0
Спасибо, а букву а ?
Ответ дал:
0
Непонятно условие: что подразумевается под вторым слагаемым?
Вас заинтересует
2 года назад
2 года назад
3 года назад
8 лет назад
8 лет назад
9 лет назад