• Предмет: Математика
  • Автор: eltinua
  • Вопрос задан 8 лет назад

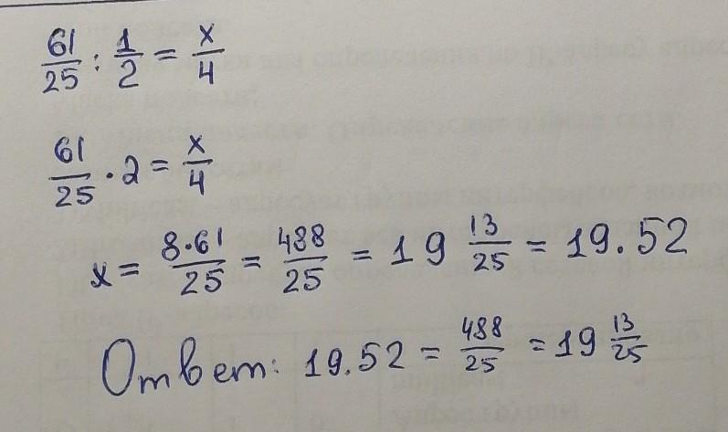
Помогите решить , запуталась, 61/25 : 1/2 = х : 4

Ответы

Ответ дал: Света19999
0

Смотри ответ на фотографии

Приложения:
Ответ дал: nastyak8
0
61/25*2=x/4
Вас заинтересует