• Предмет: Алгебра
  • Автор: krol112
  • Вопрос задан 8 лет назад

Решите пожалуйста) Желательно решения подробно

Приложения:

Ответы

Ответ дал: Аноним
0

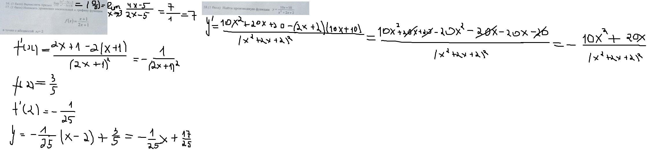
Ответ:

Объяснение:

вот

Приложения:
Вас заинтересует