Помогите пожалуйста.
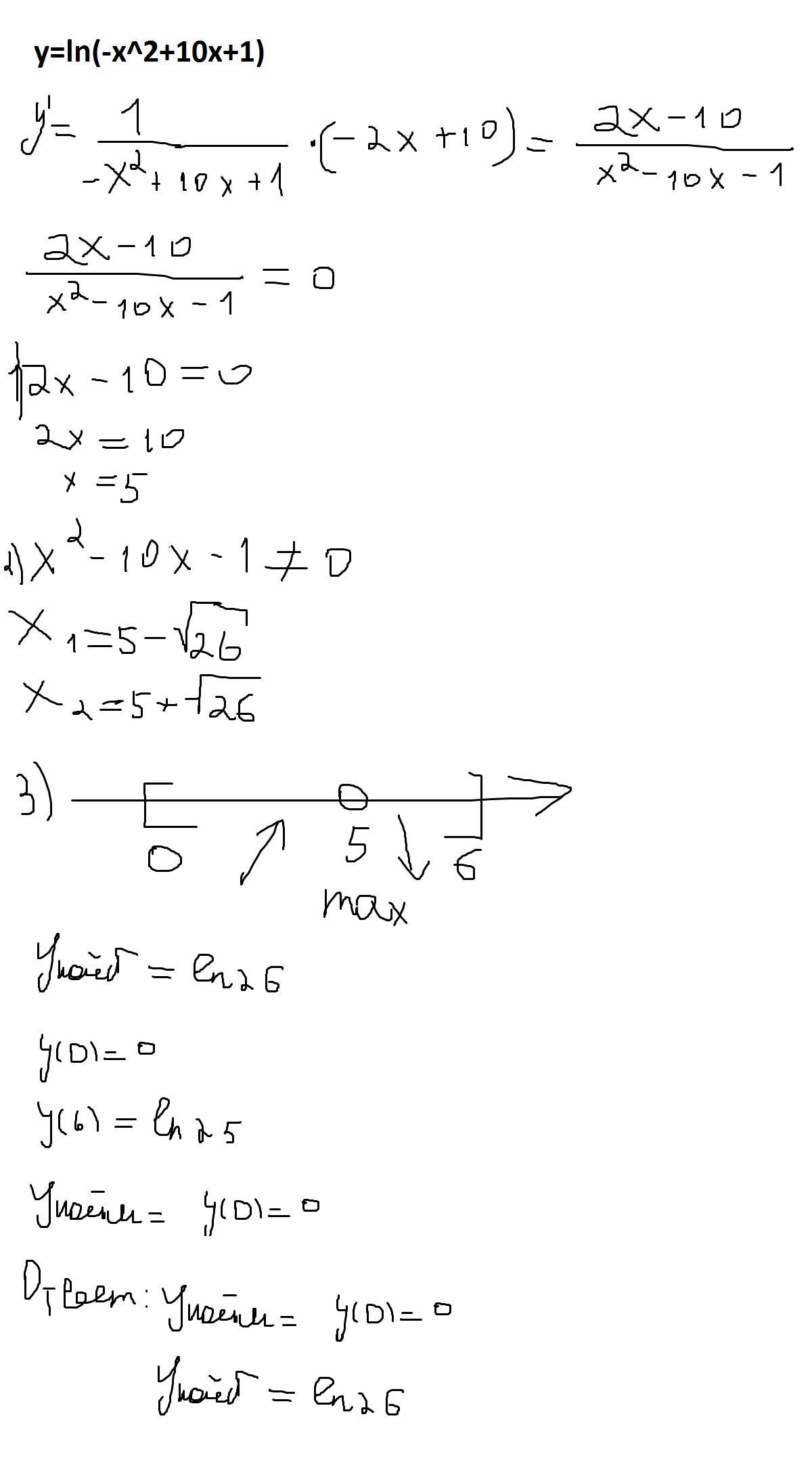
Найти наибольшее и наименьшее значение функции y=ln(-x^2+10x+1) на отрезке [0;6]
Ответы
Ответ дал:
0
Ответ:
Пошаговое объяснение:
ВОТ
Приложения:

Вас заинтересует
2 года назад
3 года назад
3 года назад
8 лет назад
8 лет назад
9 лет назад