Ответы
Ответ дал:
0
Ответ:
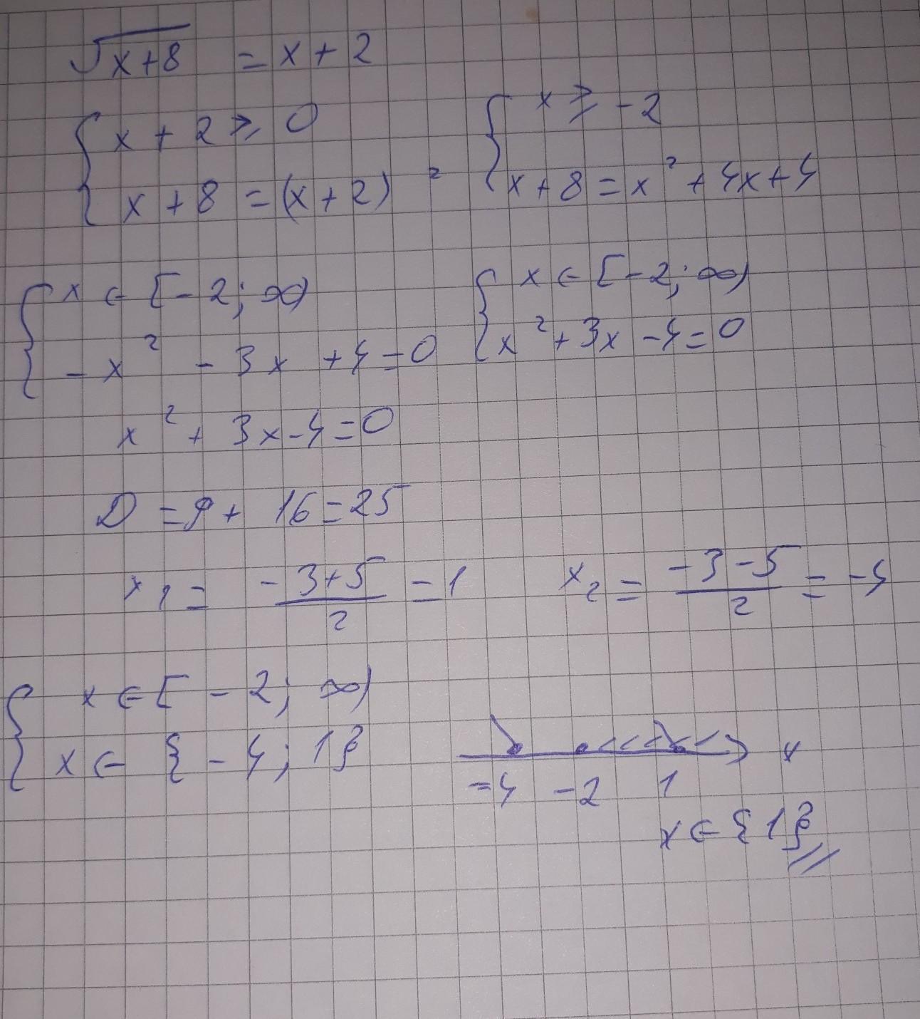
решение задания приложено
Приложения:

Ответ дал:
0
Ответ:
(√х+8)^=(х+2)^
х+8=х^+4х+4
x^+4x+4-x-8=0
x^+3x-4=0
по т.Виета х1=-4; х2=1
Объяснение:
Приложения:

Вас заинтересует
2 года назад
2 года назад
3 года назад
8 лет назад
8 лет назад
9 лет назад