• Предмет: Математика
  • Автор: tankozmavile
  • Вопрос задан 8 лет назад

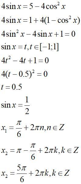
Найдите решение уравнения 4sinx=5-4cos^2 x

Ответы

Ответ дал: NameVM
0

####################

Приложения:
Ответ дал: NameVM
0
эти вещи для решения таких уравнений нужно знать
Ответ дал: NNNLLL54
0
если бы их знали, то не просили бы других решить такое уравнение
Ответ дал: NameVM
0
Подумал, что вы автор вопроса. Странно, что Вы задали вопрос 4(1-cos^2x)=???. Явно по причине, отличной от незнания, но мне непонятной
Ответ дал: NNNLLL54
0
просто, чтобы подробней расписали решение
Ответ дал: NameVM
0
Автор вопроса не попросил деталей решения, значит, в этом нет необходимости
Ответ дал: NNNLLL54
0

4sinx=5-4cos^2x\\4sinx=5-4(1-sin^2x)\\4sin^2x-4sinx+1=0\\(2sinx-1)^2=0\\2sinx-1=0; ; ,; ; sinx=frac{1}{2}; ,\\underline {x=(-1)^{n}cdot frac{pi}{6}+pi n; ,; nin Z}

Приложения:
Вас заинтересует