Ответы
Ответ дал:
0
Ответ:
Пошаговое объяснение:
вот
Приложения:

Ответ дал:
0
потом от того что внутри
Ответ дал:
0
(4x-9)'=4
Ответ дал:
0
Согласно какой формуле?
Ответ дал:
0
производная от х
Ответ дал:
0
4 это сталий множетель
Ответ дал:
0
y'=((ax+b)ⁿ)'=n*ax+b)ⁿ⁻¹*(a)
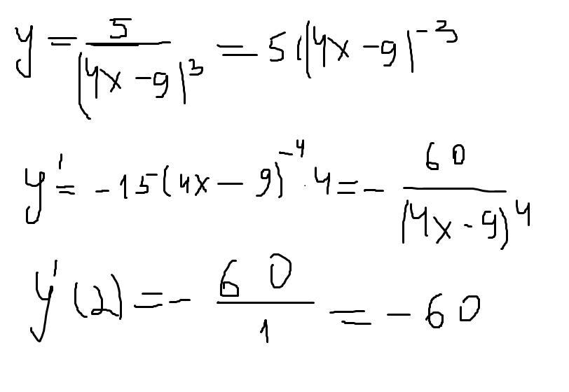
y'(x)=(5/(4x-9)³)'=(5*(4x-9)⁻³)'=(-15*(4x-9)⁻⁴)*4=-60/(4x-9)⁴
y'(2)=-60/(4*2-9)⁴=-60
Приложения:

Ответ дал:
0
Огромное спасибо! Вы нам очень помогли!
Вас заинтересует
2 года назад
2 года назад
3 года назад
8 лет назад
8 лет назад
9 лет назад