• Предмет: Математика
  • Автор: egor222777
  • Вопрос задан 8 лет назад

Решить два задания, математика

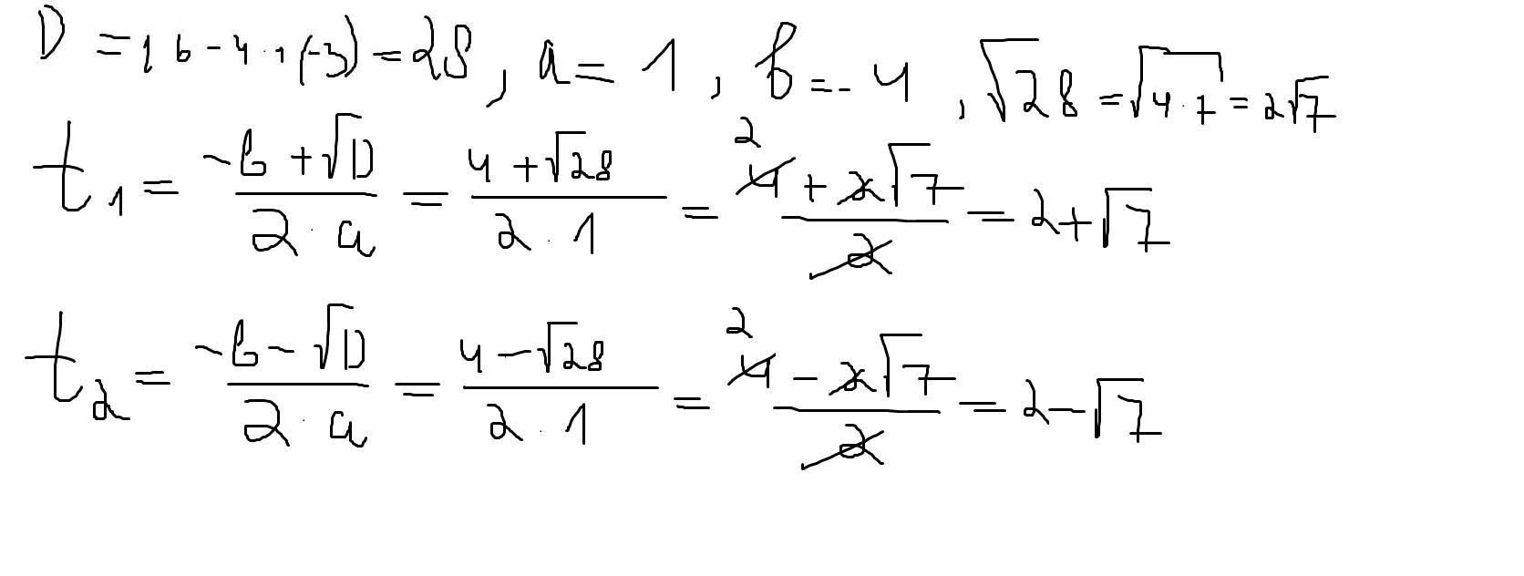
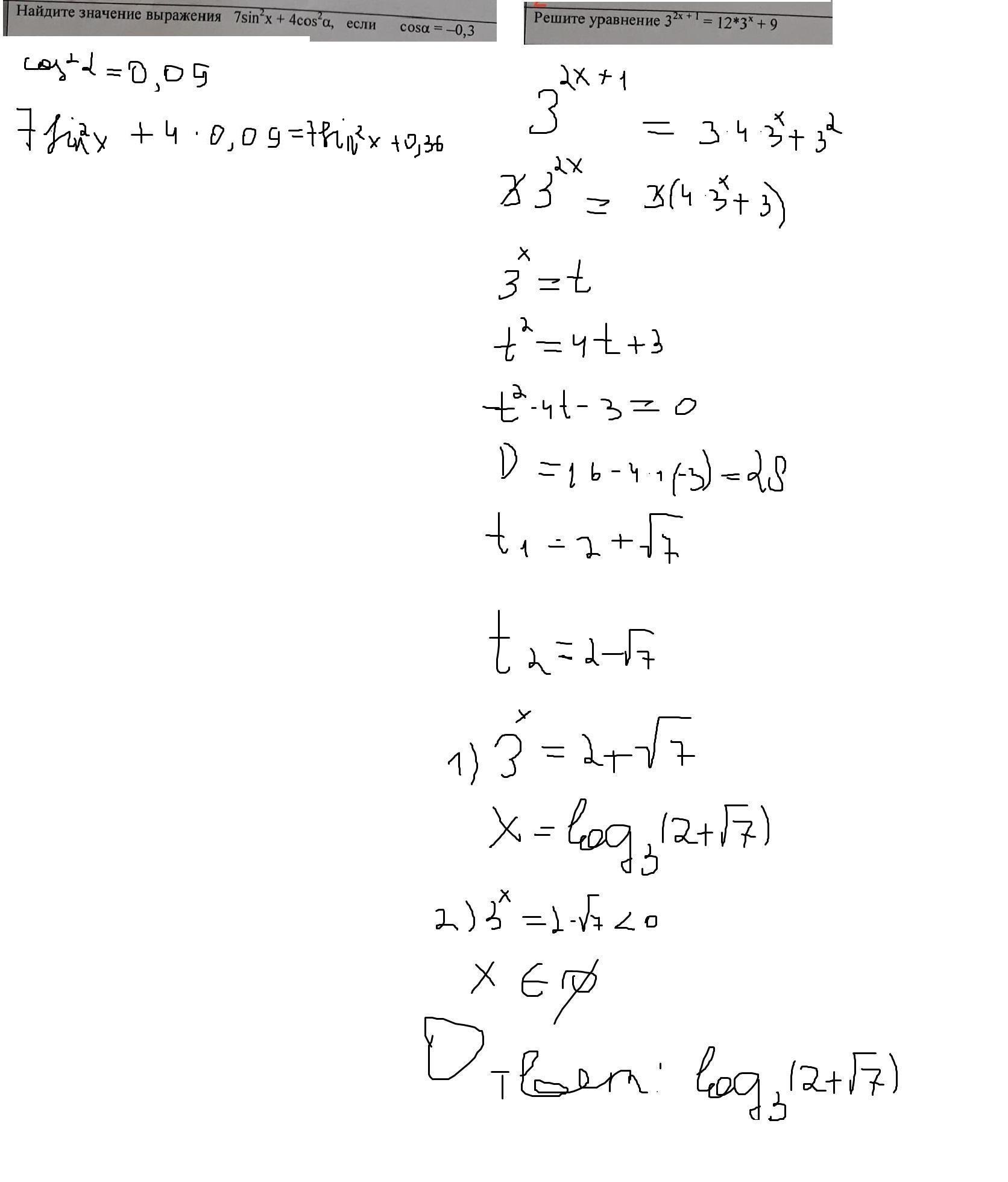
Приложения:

Ответы

Ответ дал: Аноним
0

Ответ:

Пошаговое объяснение:

вот

Приложения:
Ответ дал: Аноним
0
А лол
Ответ дал: Аноним
0
ща исправлю
Ответ дал: egor222777
0
Если вы закончили решать, то это же не окончательный ответ. Нужно найти значение выражения.
Ответ дал: Аноним
0
мы не можем найти значение поскольку по условие нам не дано связаное с х
Ответ дал: egor222777
0
Действительно, видимо опечатка. Спасибо за все!
Вас заинтересует