Ответы
Ответ дал:
0
Ответ:
Пошаговое объяснение:
вот
Приложения:

Ответ дал:
0
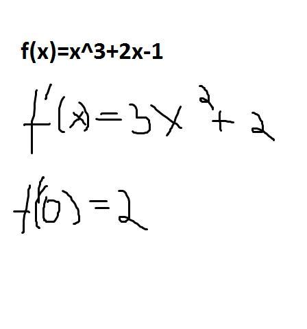
f(x)=x^3+2x-1
f(x)=3x^2+2
Подставляем 0 вместо x
f(0)=3 × 0^2 + 2
f(0)=0+2
f(0)=2
Приложения:

Вас заинтересует
3 года назад
3 года назад
8 лет назад
8 лет назад
9 лет назад
9 лет назад