найти угловой коэффициент касательной к графику функции f(x)=3x^3-3x^2-11 , с точкой абциссой x0=2
Ответы
Ответ дал:
0
Ответ:
Пошаговое объяснение:
вот
Приложения:

Ответ дал:
0
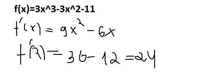
f(x)=3x^3-3x^2-11
f(x)=9x^2 - 6 x
f(2)=9 × 2^2 - 6×2=9×4-12
f(2)=36-12=24.
ОТВЕТ:24
Приложения:

Вас заинтересует
2 года назад
3 года назад
8 лет назад
9 лет назад