• Предмет: Химия
  • Автор: nka2000
  • Вопрос задан 8 лет назад

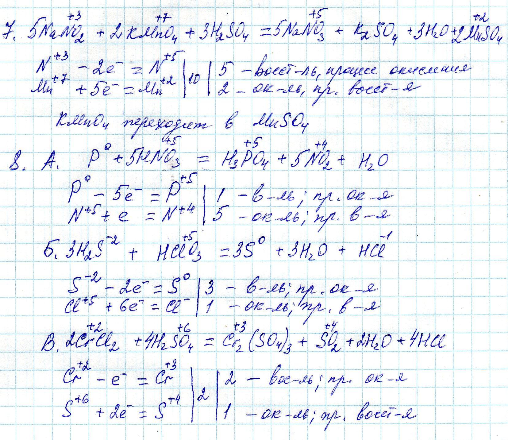
Пожалуйста помагитара если решить окислитель но востоновительные реакции задания 7,8

Приложения:

Ответы

Ответ дал: mrvladimir2
0

Ответ:

Объяснение:

..........................................................

Приложения:
Вас заинтересует