• Предмет: Химия
  • Автор: nka2000
  • Вопрос задан 8 лет назад

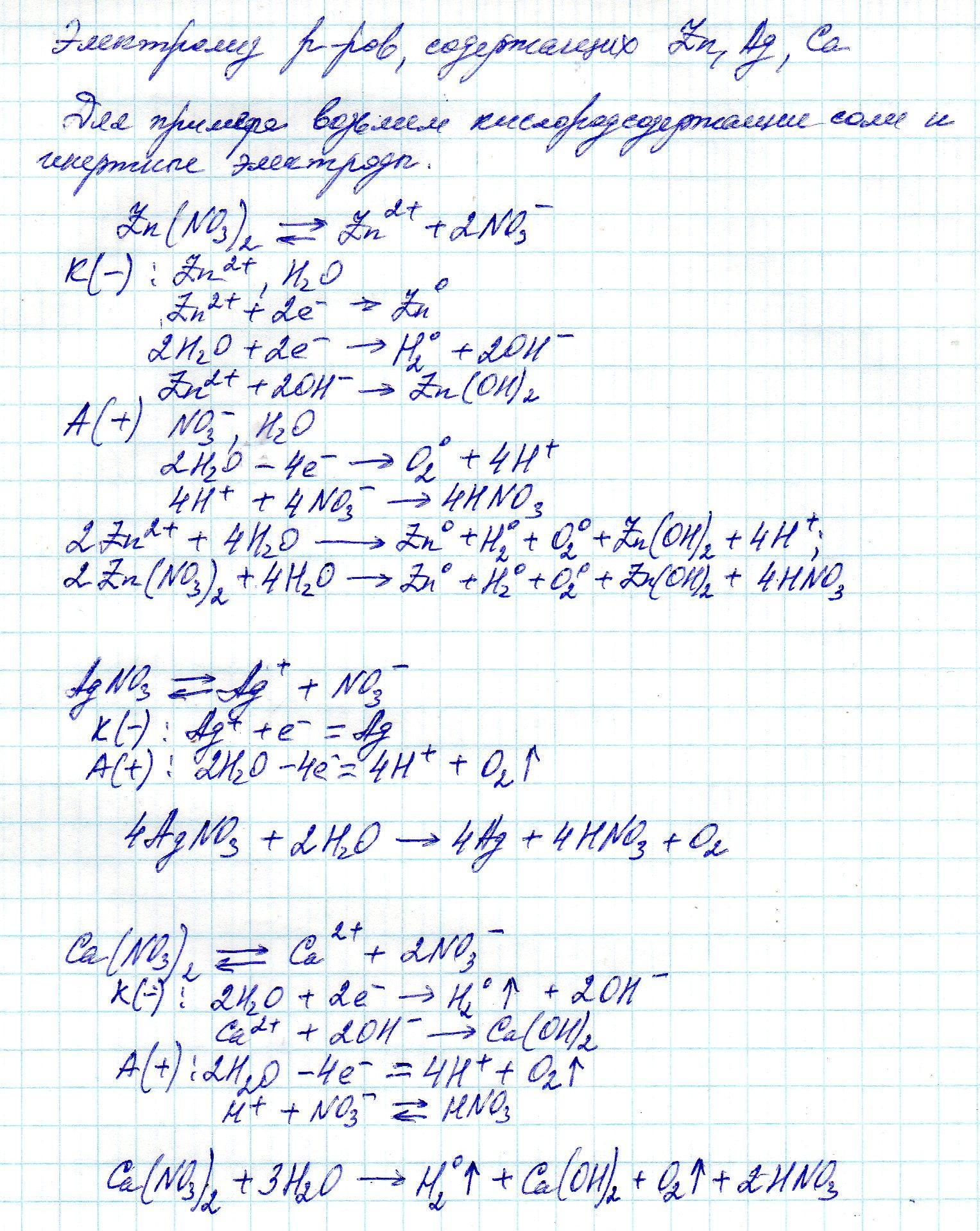
Какой процесс протекает на катоде при электролизе раствора соли если она содержит цинк, серебро ,кальций ? И пожалуйста помогите написать уравнения этих процессов. ..

Ответы

Ответ дал: zzhash
0

Цинк

Конкурирующие реакции: и восстановление металла и выделение водорода.

Zn2+ +2ē = Zn

2H2O + 2ē = H2 + OH-

Серебро

Ионы серебра Ag+ восстанавливаются до металлического серебра Ag0.

Ag+ +1ē = Ag0

Кальций

Восстанавливаются только молекулы воды.

2H2O +2ē = H2 + 2OH-

Ответ дал: mrvladimir2
0

Ответ:

Объяснение:

..............................................

Приложения:
Вас заинтересует