Ответы
Ответ дал:
0
####################
Приложения:

Ответ дал:
0
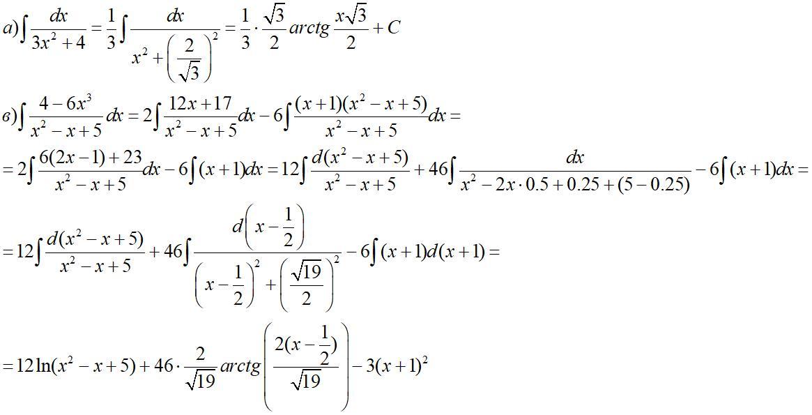
Была небольшая арифметическая ошибка, исправил
Ответ дал:
0
В в) также нужно дописать константу C
Вас заинтересует
2 года назад
2 года назад
8 лет назад
8 лет назад
9 лет назад