Клубника стоит 180 рублей за килограмм,а малина - 200 рублей за килограмм. На сколько процентов клубника дешевле малины?
Ответы
Ответ дал:
0
Привет!
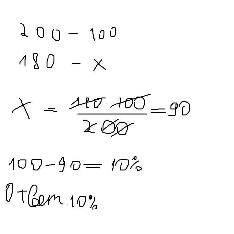
200 — 100%
180 — х%
200х=180*100
200х=18000
х= 90
100%-90% = на 10% клубника дешевле малины
Ответ: на 10%
Ответ дал:
0
Ответ:
Объяснение:
вот
Приложения:

Вас заинтересует
3 года назад
3 года назад
8 лет назад