Ответы
Ответ дал:
0
#####################
Приложения:

Ответ дал:
0
Это тоже самое, если бы вы решали пример 2+4+6 = 6+6
Ответ дал:
0
А дальше сам вычисляй, да?
Ответ дал:
0
корень из пяти сам по себе не является конечным числом, а является функцией. Кроме того, по Вашей логике, 5000 * sqrt(5) тоже не является конечным ответом
Ответ дал:
0
Я не хочу с вами спорить, я говорю как учили меня еще в школе)
Ответ дал:
0
Нас всех когда-то учили в школе, и избавлению от иррациональности знаменателя в том числе. Однако не стоит возводить эти действия в культ
Ответ дал:
0
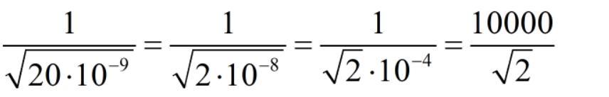
Привет!
Решение на фото
Приложения:

Вас заинтересует
3 года назад
8 лет назад