• Предмет: Математика
  • Автор: 134546722
  • Вопрос задан 8 лет назад

Ляя тупа экзамен в шараге помогите добрые люди

Приложения:

Ответы

Ответ дал: Correlation
0

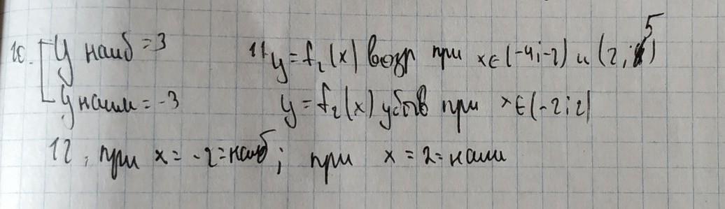
1. Наибольшее значение функции: y = 3, а наименьшее: y = -3.

2. Функция возрастает на промежутке x ∈ (-4;-2) и x ∈ (2;5), а убывает на промежутке x ∈ (-2;2).

3. При х = -2 функция принимает наибольшее значение, а при  х = 2 принимает наименьшее значение.

Ответ дал: Correlation
0
на рисунку концы графика должны быть закрашены включением.
Ответ дал: Correlation
0
кружком или чегото еще
Ответ дал: takushnir
0
мне кажется, если бы точки были выколоты, они были бы пустыми, а т.к. этого нет, то эти точки входят в область определения и подлежат классификации на монотонность.
Ответ дал: Correlation
0
Нашел пример : https://ru-static.z-dn.net/files/d72/77775eb2e1c1d20bda66f1aa0e20fbe3.png
Ответ дал: Correlation
0
Можно ответ оставить как у меня, также как и вы говорите.
Ответ дал: daniilzhulanov
0

Привет!

Решение на фото

Приложения:
Вас заинтересует