Ответы
Ответ дал:
0
####################
Приложения:

Ответ дал:
0
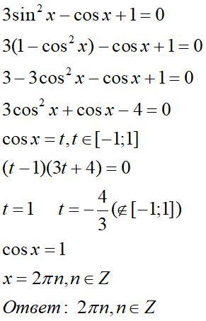
3sin^2x-cosx+1=0
3cos^2x+cosx-4=0
cosx=(-1±7)/6
Поскольку E(cosx) = [-1;1]
cosx=1
x = 2pn, n∈Z
Приложения:

Вас заинтересует
2 года назад
2 года назад
3 года назад
3 года назад
8 лет назад
9 лет назад