• Предмет: Математика
  • Автор: arinakuznecova512
  • Вопрос задан 8 лет назад

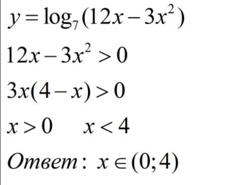
найдите область определения функции ​

Приложения:

Ответы

Ответ дал: NameVM
0

####################

Приложения:
Ответ дал: Аноним2281337
0

12х-3х²>0

3х(4-х)>0

left { {{x>0} atop {x<4}} right.

D(y) = (0; 4)

Приложения:
Вас заинтересует