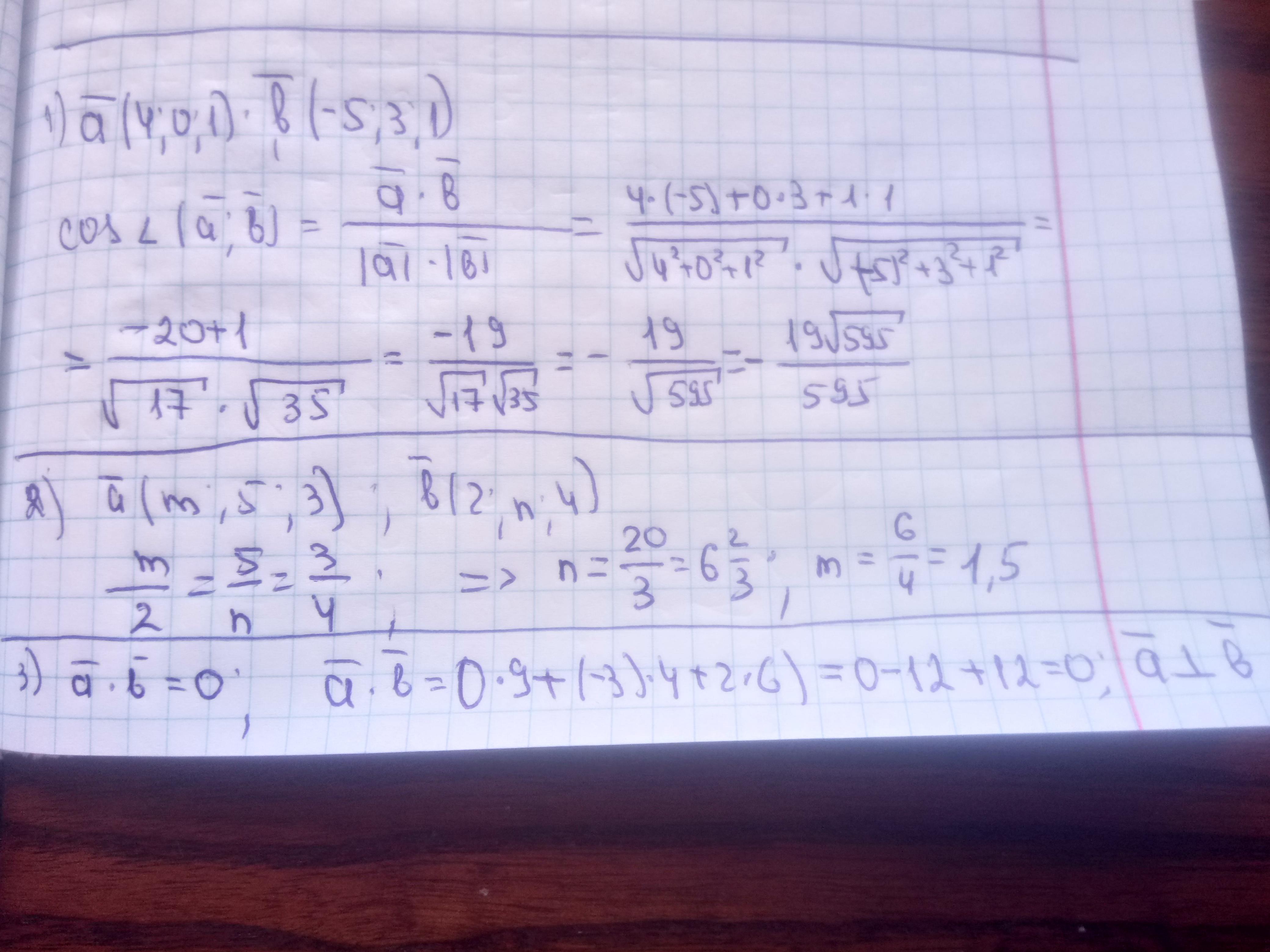
Найти косинус угла между векторами а (4;0;1),b(-5;3;1)
При каких значениях m и n векторы коллинеарны? а(m;5;3),b(2;n;4)
Проверьте перпендикулярность векторов а( 0;-3;2) b(9;4;6)
Помогите пожалуйста
Ответы
Ответ дал:
0
Решение задания приложено
Приложения:

Ответ дал:
0
Косинус угла между векторами:
Векторы коллинеарные, если их соответственные координаты пропорциональны, т.е.
Векторы перпендикулярны, если их скалярное произведение равно 0
Векторы а и b перпендикулярны
Приложения:

Ответ дал:
0
Спасибо большое! все поняла)
Ответ дал:
0
Рад слышать)
Вас заинтересует
2 года назад
2 года назад
3 года назад
3 года назад
8 лет назад
9 лет назад