Ответы
Ответ дал:
0
Ответ:
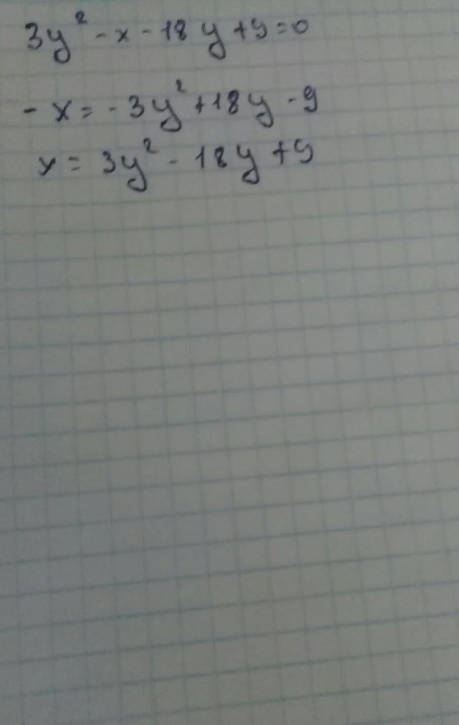
сделал только 4 остальные не получаются
Приложения:

Ответ дал:
0
Нужно решить Каноническим уравнением элипса, Гиперболой, Асимптотой или Параболой
Ответ дал:
0
скорее всего2
Вас заинтересует
2 года назад
3 года назад
8 лет назад
8 лет назад
9 лет назад