• Предмет: Математика
  • Автор: alex02618
  • Вопрос задан 8 лет назад

вычислить площадь фигур, ограниченных линиями:

Приложения:

Ответы

Ответ дал: snopikvova629
0

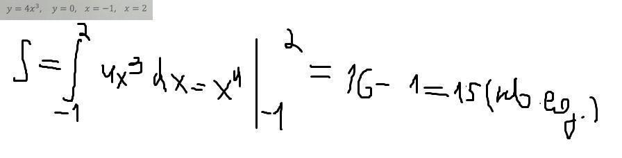
Ответ:

Пошаговое объяснение:

вот

Приложения:
Ответ дал: takefun
0
(2)^4 - (-1)^4=16-1=15 исправьте
Ответ дал: alex02618
0
как именно исправить?
Вас заинтересует