Помогите решить, пожалуйста
Срочно надо:
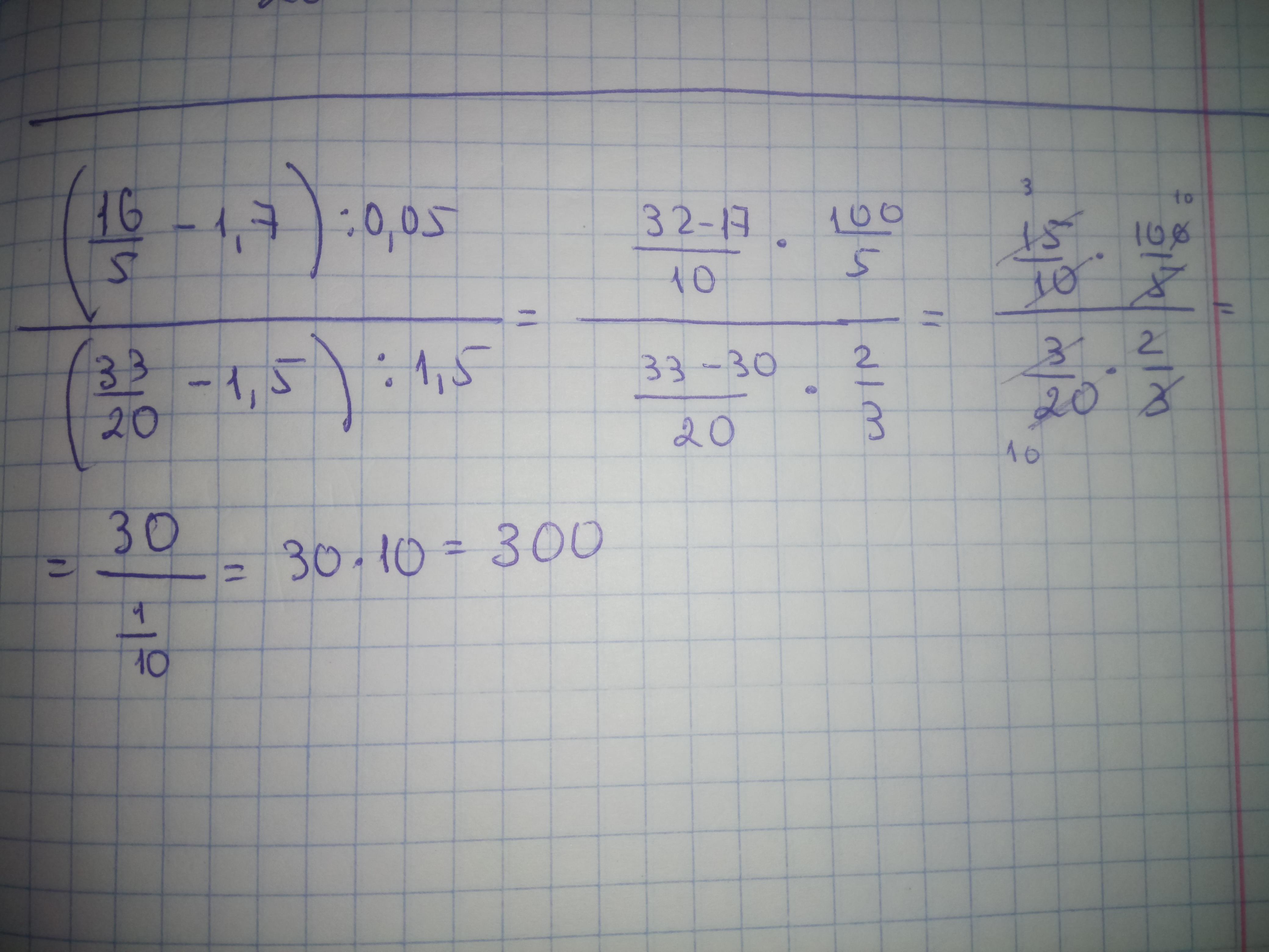
(16/5 - 1,7) : 0,05/(33/20 - 1,5):1,5 =
И систему:
{x²+y²=68
{x/y + y/x = 17/4
Ответы
Ответ дал:
0
1) ((16/5-17/10):5/100)/((33/20-15/10):15/10)= ((32/10-17/10):1/20)/((33/20-30/20):3/2)= ((15/10):1/20)/(3/20:3/2)= (3/2*20)/(3/20*2/3)= (30)/(1/10)= 30*10= 300
2) x²+y²=68
(x²+y²)/xy= 17/4
68/xy=17/4
xy=16
x= 16/y
256/y²+y²=68
y²=t
256/t+t=68
t²-68t+256=0
D= 4624-1024=3600
t1= (68+60)/2= 64
t2= (68-60)/2= 4
y1= 8
y2= -8
y3= 2
y4= -2
x1= 2
x2= -2
x3= 8
x4= -8
Ответ: (2;8), (-2;-8), (8;2), (-8;-2)
Ответ дал:
0
Решение задания приложено
Приложения:




Вас заинтересует
2 года назад
2 года назад
3 года назад
3 года назад
8 лет назад
8 лет назад
9 лет назад