• Предмет: Алгебра
  • Автор: Pro1905
  • Вопрос задан 8 лет назад

помогите решить пожалуйста неравенство с логарифмами.

Приложения:

Ответы

Ответ дал: juniorotabekpai8do
0

Ответ:

Ответ внизу на фото

Объяснение:

Приложения:
Ответ дал: Pro1905
0
там просто 3 без минуса
Ответ дал: Pro1905
0
но ответ правильный)
Ответ дал: takushnir
0
Ответ не правильный, из - за опечатки.
Ответ дал: takushnir
0

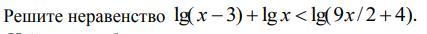
lg(x-3)+lgx<lg(9x/2+4)

ОДЗ уравнения х больше 3. На ОДЗ решим неравенство, т.к. основание больше 1, то х*(х-3)<(9x/2+4); х²-3х-4.5х-4<0; х²-7.5х-4<0, по теоереме, обратной теореме Виета корни левой части неравенства 8 и -0.5, разобьем ими числовую прямую на интервалы и по методу интервалов решим неравество        _____-0.5_____8_______

                                           +                 -          +

С учетом ОДЗ решением будет (3;8)

Приложения:
Вас заинтересует