• Предмет: Математика
  • Автор: wotvova99
  • Вопрос задан 8 лет назад

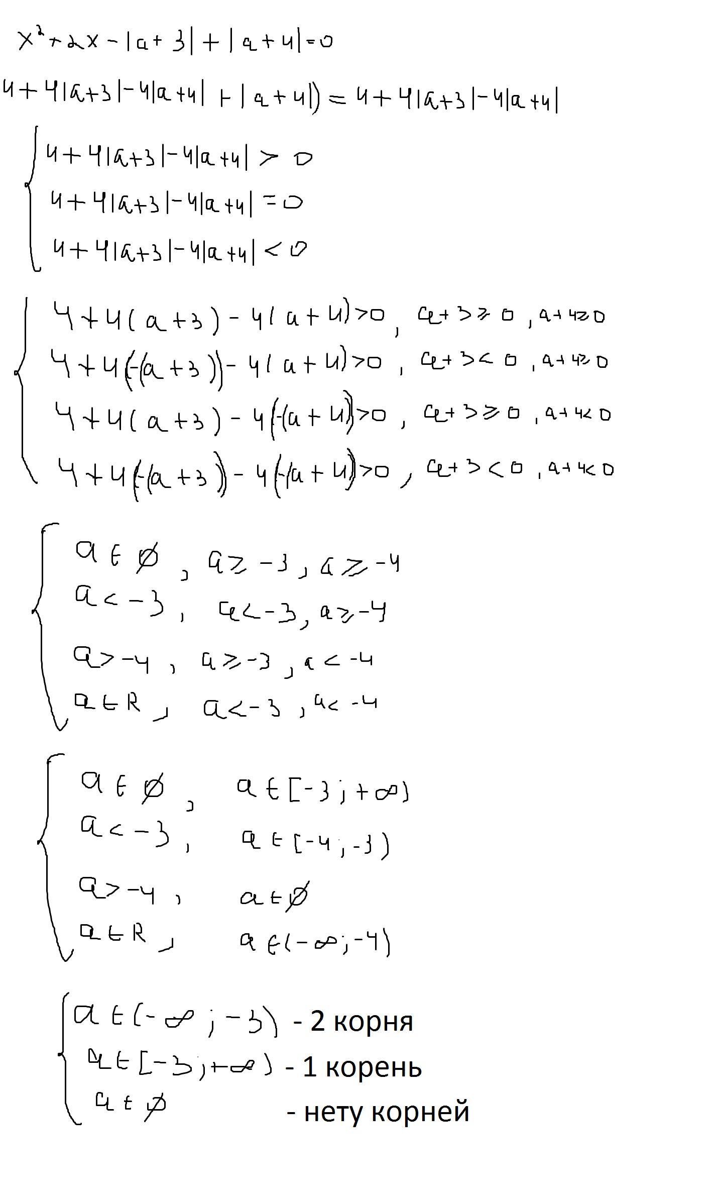
При каких значениях параметра "а" уравнение имеет единственный корень

Приложения:

Ответы

Ответ дал: snopikvova629
0

Ответ:

Пошаговое объяснение:

вот

Приложения:
Ответ дал: wotvova99
0
избавились от "Х" , но не понял как
Ответ дал: snopikvova629
0
это дискриминант мы ищем
Ответ дал: snopikvova629
0
я бы исправил но не могу
Ответ дал: snopikvova629
0
2 строчка там спереду должно быть D=...
Ответ дал: snopikvova629
0
и дальше рассматриваем 3 случая хотя для этой задачи можно было рассмотреть только 1 случай
Вас заинтересует