• Предмет: Математика
  • Автор: ktnvrv
  • Вопрос задан 8 лет назад

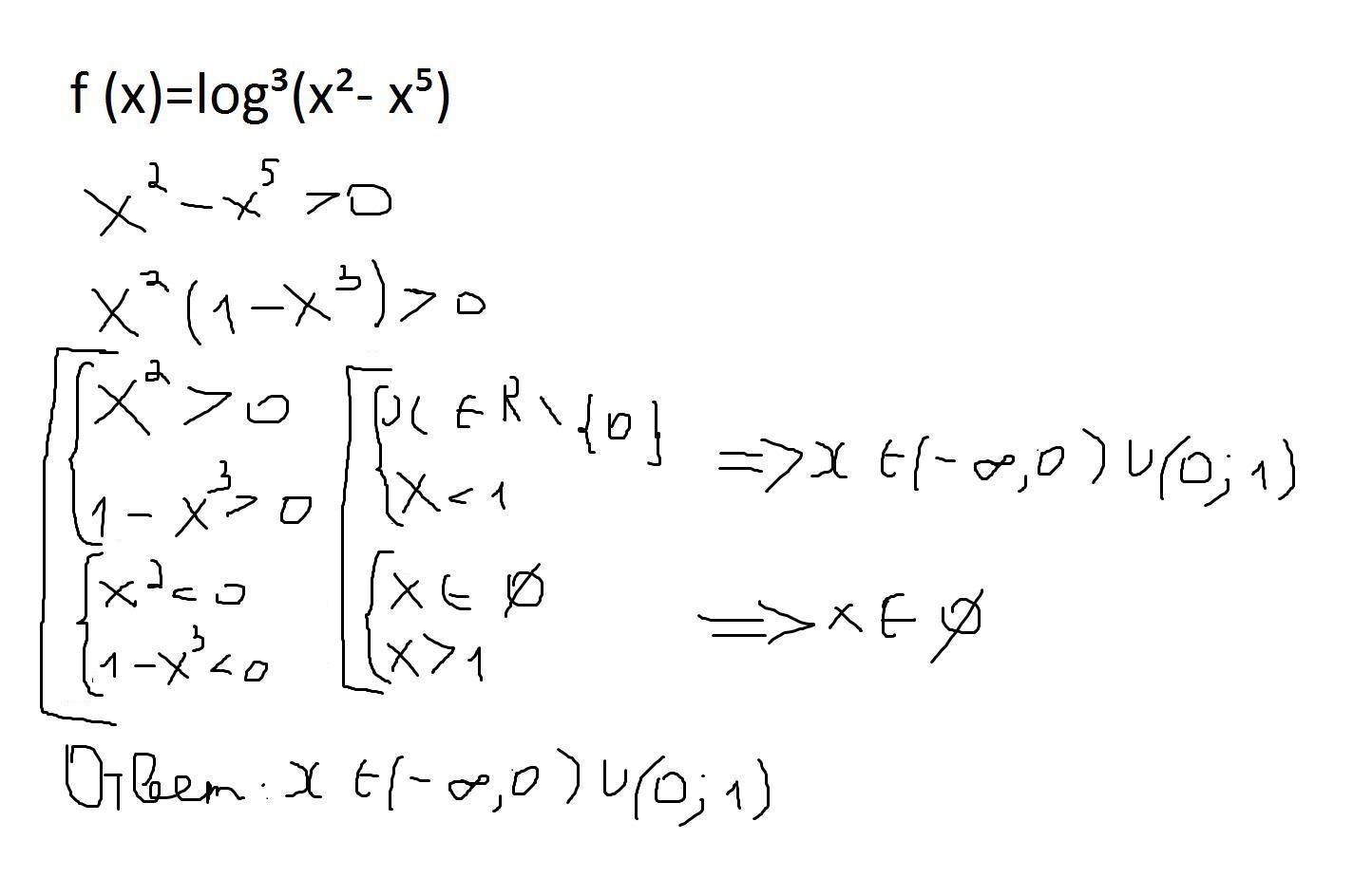
Найдите область определения функции f (x)=log³ (x²- x⁵)
Помогите пожалуйста

Ответы

Ответ дал: snopikvova629
0

Ответ:

Пошаговое объяснение:

вот

Приложения:
Ответ дал: sololineabuse123
0
мб тогда будет совокупность двух систем?
Ответ дал: sololineabuse123
0
а то получается, что в конце надо искать пересечение пустого множества и (-беск;0) U (0;1)
Ответ дал: xERISx
0
В конце нужно искать не пересечение, а объединение решений, полученных для каждой системы. Знак совокупности - квадратная скобка - означает, что в качестве ответа подходит любое значение переменной из первой системы (-оо;0) U (0;1) ИЛИ значение переменной из второй системы - а там пустое множество. Решение верное
Ответ дал: sololineabuse123
0
Я это писал, когда вместо значка совокупности был знак системы, сейчас всё исправлено :)
Ответ дал: table123
0

Ответ:

Пошаговое объяснение:

x^2-x^5>0,  x^2(1-x^3)>0      __+_,0__+___ ,1___-___ ,  ответ: (-~;0) , (0;1)

Приложения:
Вас заинтересует