Ответы
Ответ дал:
0
Ответ:
Пошаговое объяснение:
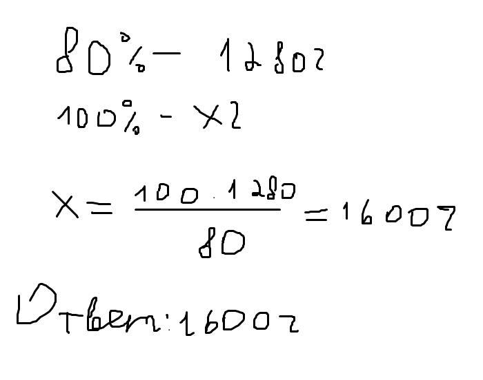
вот
Приложения:


Ответ дал:
0
спасибо, а первая задача?
Ответ дал:
0
аа сейчас
Ответ дал:
0
не увидил
Ответ дал:
0
спасибо :з
Вас заинтересует
2 года назад
3 года назад
3 года назад
8 лет назад
9 лет назад