Ответы
Ответ дал:
0
Ответ:
Пошаговое объяснение:
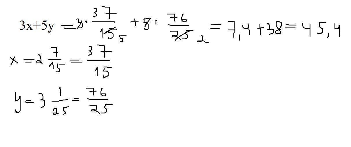
вот
Приложения:

Ответ дал:
0
3*(2 целых 7/15)+5* (3 целых 1/25)=(6 целых 7/5)+(15 целых 1/5)=
21целая +7/5+1/5=22 целых 2/5+1/5=22 целых 3/5
Приложения:

Вас заинтересует
2 года назад
2 года назад
3 года назад
8 лет назад
9 лет назад