Ответы
Ответ дал:
0
Ответ:
Объяснение:
вот
Приложения:

Ответ дал:
0
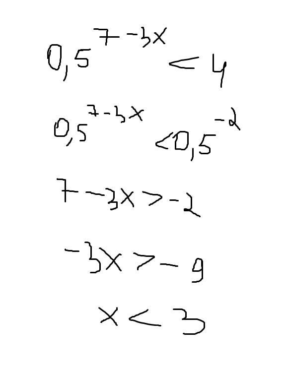
0.5⁷⁻³ˣ<4
2³ˣ₋⁷<2², т.к. основание больше единицы, то 3х-7<2; 3х<9; х<3.
Ответ х∈(-∞;3)
Приложения:

Вас заинтересует
2 года назад
2 года назад
3 года назад
3 года назад
8 лет назад
8 лет назад
9 лет назад
9 лет назад