Ответы
Ответ дал:
0
Ответ:
Объяснение:
вот
Приложения:

Ответ дал:
0
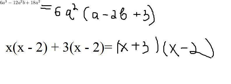
а) 6а³-12а²в+18а²=6а²*(а-2в+3)
б) х*(х-2)+3*(х-2)=(х-2)*(х+3)
Приложения:

Вас заинтересует
2 года назад
2 года назад
3 года назад
3 года назад
8 лет назад
9 лет назад