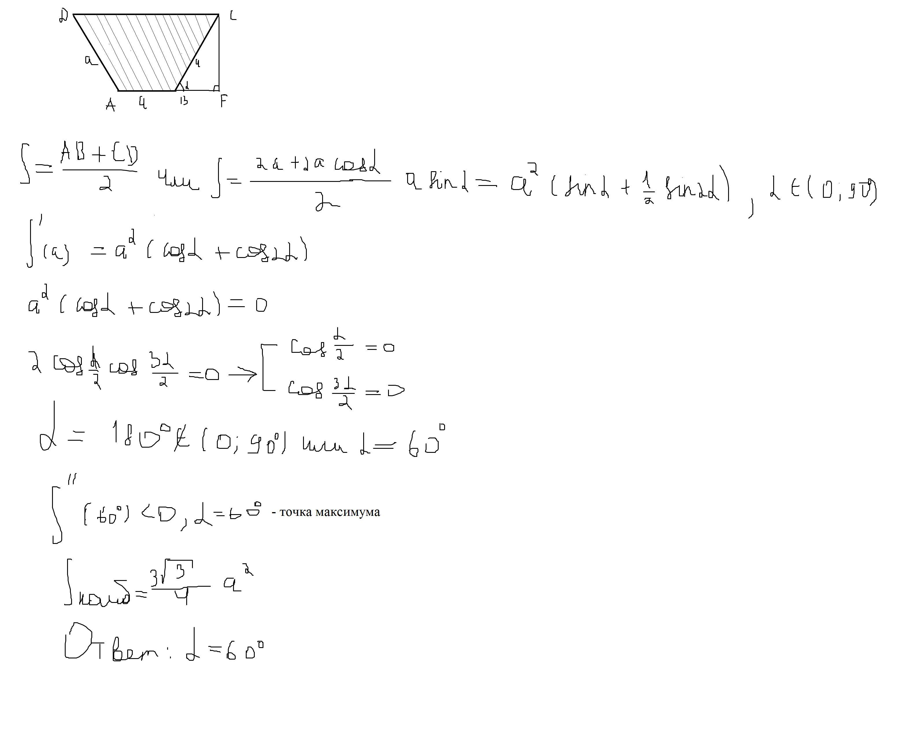
Относительный канал имеет форму равнобочной трапеций, боковые стороны которой равны меньшему основанию. При каком угле наклона боковых сторон сечения канала является наиболее
Ответы
Ответ дал:
0
Ответ:
Пошаговое объяснение:
вот
Приложения:
Вас заинтересует
2 года назад
2 года назад
3 года назад
3 года назад
9 лет назад
10 лет назад
10 лет назад