Ответы
Ответ дал:
0
Решение задания приложено
Приложения:

Ответ дал:
0
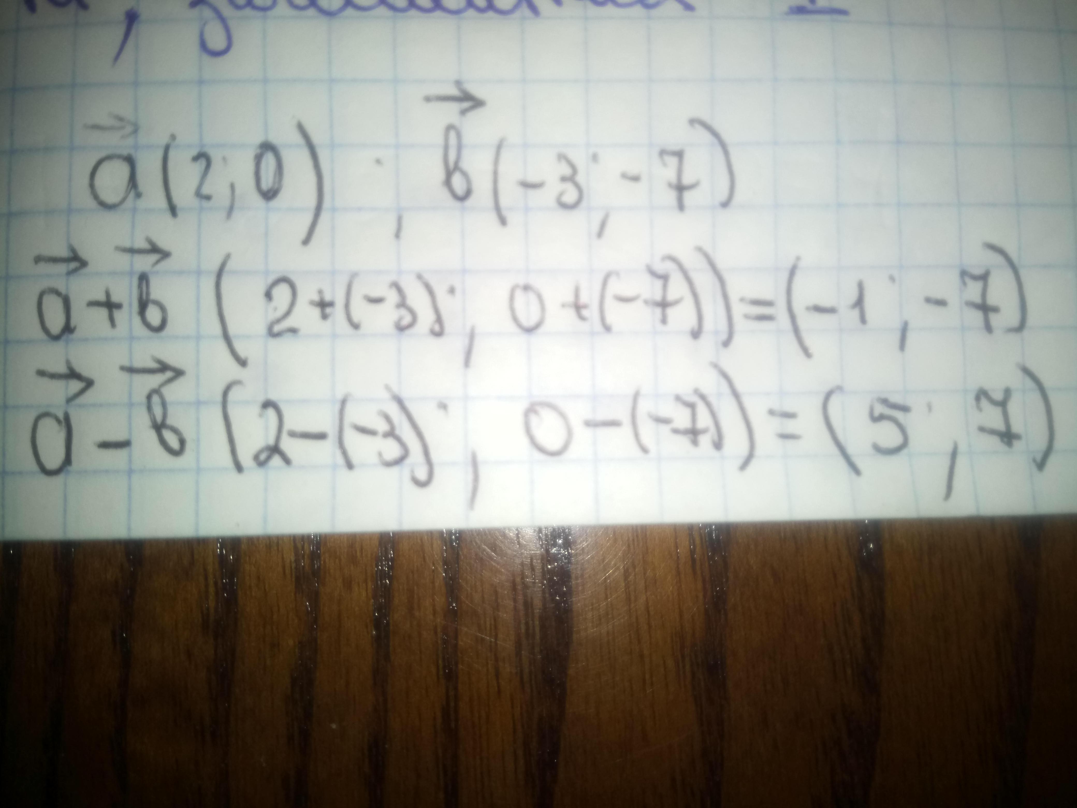
Чтобы найти сумму, надо сложить координаты соответственные. а+в={-1;-7}
Разность векторов равна {5;7}
Приложения:

Вас заинтересует
2 года назад
2 года назад
3 года назад
3 года назад
8 лет назад
9 лет назад