• Предмет: Алгебра
  • Автор: Latyfullinadi
  • Вопрос задан 8 лет назад

log5(3x-1)>log5(2x-1) решите пожалуйста

Ответы

Ответ дал: snopikvova629
0

Ответ:

Объяснение:

вот

Приложения:
Ответ дал: Universalka
0
Неверно
Ответ дал: Universalka
0

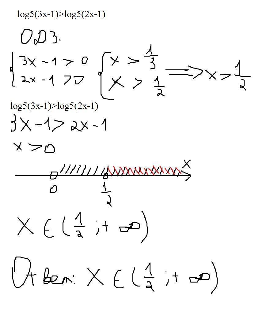
ОДЗ :

1) 3x - 1 > 0     ⇒   x > 1/3

2) 2x - 1 > 0    ⇒   x > 1/2

Окончательно : x > 1/2

log_{5} (3x-1)>log_{5}(2x-1)\\5>1Rightarrow3x-1>2x-1\\3x-2x>1-1\\x>0\\Otvet:xin(0,5;+infty)

Приложения:
Вас заинтересует