• Предмет: Математика
  • Автор: nasya384
  • Вопрос задан 8 лет назад

Помогите, пожалуйста ​

Приложения:

Ответы

Ответ дал: snopikvova629
0

Ответ:

Пошаговое объяснение:

вот

Приложения:
Ответ дал: takushnir
0
Мне кажется, Вы в нуле потеряли минус три на нижнем пределе интегрирования.
Ответ дал: nasya384
0
спасибо большое!
Ответ дал: takushnir
0

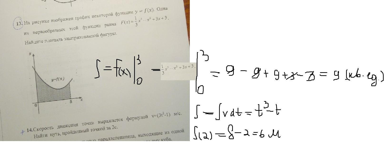
13. (1/3)*3³-3²+3*3+3-0-3=9

14. Берем интеграл от скорости, получаем путь t³-t

2²-2=8-2=6/м/

Приложения:
Ответ дал: nasya384
0
спасибо большое!
Вас заинтересует