• Предмет: Алгебра
  • Автор: Darkkat
  • Вопрос задан 8 лет назад

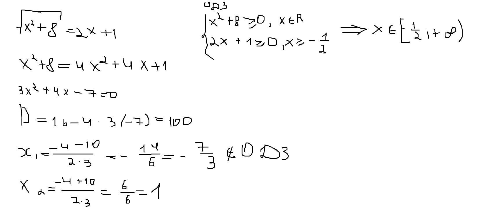
вкажіть інтервал рівняння якому належить корінь рівняння √x^2+8=2x+1
x^2+8 під корнем повністю
(-∞;0)
(0;5)
(-2;-1]
[-1/3;0)
(2;10)

Ответы

Ответ дал: snopikvova629
0

Ответ:

(0;5)

Объяснение:

вот

Приложения:
Вас заинтересует