• Предмет: Алгебра
  • Автор: kk64
  • Вопрос задан 8 лет назад

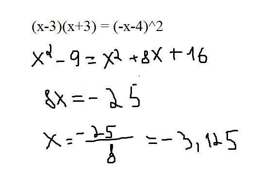
при каких значениях переменной значения выражений (x-3)(x+3) и (-x-4)^2 равны?

Ответы

Ответ дал: snopikvova629
0

Ответ:

-3,125

Объяснение:

вот

Приложения:
Ответ дал: tyt20
0
........................
Приложения:
Вас заинтересует